| 일 | 월 | 화 | 수 | 목 | 금 | 토 |
|---|---|---|---|---|---|---|
| 1 | 2 | 3 | ||||
| 4 | 5 | 6 | 7 | 8 | 9 | 10 |
| 11 | 12 | 13 | 14 | 15 | 16 | 17 |
| 18 | 19 | 20 | 21 | 22 | 23 | 24 |
| 25 | 26 | 27 | 28 | 29 | 30 | 31 |
- Sintering
- BaTiO3
- Automotive
- NI-MLCC
- dispersion
- halt
- X8R
- oxygen vacancy
- hydrothermal
- nano powder
- CERAMIC
- Zirconia
- nickel
- bme
- Murata
- ASSB
- ni-paste
- CSZT
- Barium titanate
- core-shell
- Powder
- mlcc
- EV
- microstructure
- coating
- C0G
- paste
- reliability
- X7T
- ZrO2
- Today
- Total
MLCC Material & Process
(Material) 결합제 각론 (세라믹용 바인더) 본문
1. 수용성 결합제
1.1 단백질
1.1.1 카제인
탈지우유를 원료로 하고, 이에 염산을 가하면 백색침전하는데, 이를 산성카제인이라 한다 탈지유에 응고효소를 가하여 침전시키면 효소카제인이 생긴다. 카제인은 호르마린 또는 연화제를 가하여 혼화하고, 분쇄하여 이 분말을 가열가압하면 성형가능하다. 카제인은 흡습성이 크고, 다소 무르고, 유지, 에테르, 알콜에 녹는다. 우유중에 함유되아 있는 카제인은 천연에서는 칼슘염의 형태로 존재하고 물에는 녹지 않으나, 나트륨염은 물에 녹고, 유화제, 안정화제로서 이용된다.
1.1.2 대두단백질
대두를 눌러 으깨서 여액에 간수 또는 MgCl2를 첨가하여 가열하면 대두유가 액중에 남고, 대두단백질은 응고한다. 카제인과 마찬가지로 호르마린처리를 하면 성형가능하고 대부분은 카제인, 요소수지와 혼합된다.
1.1.3 아교, 젤라틴
복잡한 단백질인 콜라겐의 가수화물이며 담색의 정제품이 젤라틴, 농색의 조제품이 아교이다. 젤라틴은 냉수에서 5-10배 팽윤하고 35도 이상으로 가열하면 녹는다. 25도 근처에서 젤리를 형성하는데 이들 변화는 가소적으로 한천과 유사하나 졸-겔변화처럼 온도차가 작고 투명도가 좋다는 점은 한천보다 우수하며, 사진필름공업에 많이 이용되고 있다. 젤라틴은 식품이나 의료품의 캅셀, 사진필름용으로 사용되며, 아교는 접착제로 옛부터 사용되고 있다. 구조는 다음과 같다.

1.1.4 한천
1-2% 수용액농도에서 전형적인 가소성젤리를 만들며, 젤리의 용해온도는 80-90도, 냉각에 의한 겔화온도30도 전후로 이 사이에 큰 히스테리시스가 존재한다. 고체한천을 용해하려면 97도 이상으로 가열하면 된다. 구조는

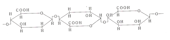
1.1.5 아라비안 고무
시판되고 있는 제품의 특성은 산지,종류, 점질물채취시기, 정제도등에 영향을 받는다. 물에 매우 잘녹고, 25도에서 용이하게 37%의 고농도의 용액으로 만들수 있다. 그러나 반면 점도는 작아 아라비안고무 20% 수용액의 점도는 로캐스트빈 고무0.5%의 점도와 같다. 아라비안고무의 수용액은 빨리 건조되어 필름을 만들며, 수분을 가하면 쉽게 녹아 점착성을 재현하는 성질이 있으며, 재습접착제로 이용되고있다. 구조는

단, X=L-Phaminoyranose or L-Arobofuranose
GALP=Galatopyranose
GA=Glucoronic Acid
1.1.6 트라갠드 고무
구조는 불명확하나 주성분은 2종의 다당류이다. 물에는 서서히 흡수팽윤하며 하룻밤 방치하여 용해시킨다. 약산성으로 약간 Thixotrophic성을 나타낸다.
1.1.7 로캐스트빈 고무, 괌고무
로캐스트빈 고무는 물에 용해성이 좋고, 수용액은 안정하며, 피막은 괜찮고 휨성이 크다. 가라크토만나 88% 성분으로 풀제로서 성능이 뛰어나다. 괌고무는 차가운 물에 녹고, 팽윤성이 크고 점도도 매우 높다. 안정한 수용액을 만들고 전분이나 아라비안 고무보다도 좋은 휨성이 큰 피막을 만든다. 구조는

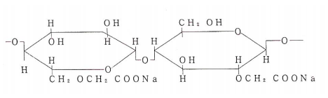
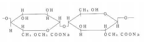
1.1.8 알긴산
해초의 점착물을 추출하여 처리한 것으로 COOH기를 갖는 마네론산의 고중합물이다. 알긴산은 찬 물에 녹지 않지만 알카리염, 암모늄염은 물에 녹으며, 점조한 수용액을 만든다. 수용액에서 강하고 부드러운 피막을 나들기 쉬우므로 풀제로서 유용한다. 구조는

이다. 알긴산암모늄염이 세라믹용 바인더로 사용된다.
1.1.9 카라게닌, 카라디날
한천과 유사하나 겔화력은 약하고, 4, 5%에서 처음으로 단단한 겔을 형성한다. 구조는

1.1.10 트로로아오이 점질물
일본에서 예전부터 종이제조에 빠지지 않는 것으로 유명하다. 점질물은 매년 가격변동이 심하고 저장중에 변질되기 쉽다는 결점이 있으며, 합성품으로 이를 완전히 대체할 수 있는 것은 나와 있지 않다. 이들에 가까운 것으로는 폴리아크릴산 소다, 폴리에틸렌옥사이드등이 있다.

1.1.11 전분
맥아당(α결합)의 고분자화한 다당류이다. 전분은 식물체에 함유되어 있으며 입자크기는 0.002-0.1mm정도이다. 산, 알카리로 처리한 것은 가용성 전분이며 또한 분해를 진행시켜 얻어지는 것이 덱스트린이다. 전분은 찬물에 녹지 않지만 온수중에는 팽윤을 일으켜 입자의 각층에서 분리되고 따라서 입자가 파열되어 전체가 호상(糊相)으로 된다. 이를 호화라고 한다. 구조는

이다. 전분은 그림 4-1에 나타내었듯이 온도가 올라가면 점도는 A→B로 삼승한다. 특히 매우 빠른 시간으로 B→C간에 점도가 급격히 상승한다. 그래서 최대치를 취하고 온도를 더욱 올리면 C→D로 점도는 저하한다. 이러한 겔화점 C를 호화라고 한다. 더욱이 D에서 냉각하면 E→F로 점도는 상승하여 고화된다. 고화온도는 표4-2에 나타나었다.

전분 풀은 매우 점도가 높으므로 사용할 때 불편하면 산, 알카리, 염, 산화제, 효소, 열로써 부분적으로 해중합, 메틸에테르화, 아세틸화시킨다. 이를 화공전분이라 한다. 천연전분을 이용하나 그대로 사용할 수 없으므로 효소변성전분, 화학변성전분(카르복시메틸전분, 하이드록시 에틸전분, 양성전분, 아세틸전분, 메틸전분)등이 사용도니다. 전분은 풀화한 후 바인더로 사용된다.
1.1.12 폐당밀
제당공업의 부산물로 흑갈색의 고점도 시럽상의 액체로 비중 1.3-1.4로 내화물, 플라스틱 가소제, 증점제로서 이용된다.
1.1.13 펄프폐액
아황산법에 의한 펄프제조시에 얻어지는 폐액으로 농황색-갈색의 취기가 있는, 비중 1.04-1.06, pH 2.0-3.5로 농도를 50%로 농축한 점조액이 결합제, 분산제로서 이용된다. Na, Ca, NH4염으로서 유출한 황갈색-갈색의 분말은 물에 잘 녹고, 분산, 콜로이드 효과가 있다.
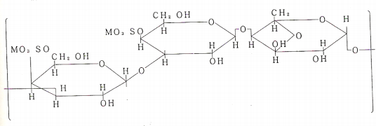
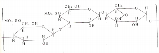
1.2 CMC
셀루로우즈 분자식은 (C6H10O5)n으로, 셀룰로우즈중에는 1 glocose당 3개의 OH기가 있고 표시식은 (C6H7O2(OH)3)n이다.
구조는

이며, 알칼리 셀룰로우즈에 모노크롤 초산소다를 작용시켜 에테르화 한다. 카르복시메틸기는 셀룰로우즈와 에테르가 결합한 Na염으로 되어 있으므로 전리(電離)성을 갖는 수용성 고분자가 된다. D, S치환도 (無水글리코우스 단위당 치환체에 반응한 OH기의 평균수치)는 어떤 유도체에서 최대 3이다. D, S가 커지면 수용성이 증가한다. D, S의 균일성이 좋은것은 thixotropy가 작은 Newton성에 가까운 상태의 수용액이 된다.
일반적으로 CMC는 D,S가 0.5-1.2 정도이고, 습윤성이 있다. 용해성은 물에 팽윤하여 수용액이 되는데, 메탄올, 에탄올, 아세톤등과 같은 친수성 용제에도 녹는다. 다른 수용성 고분자 용액, 즉 트라칸트고무, 알킨산소다, MC등에 혼합될 수 있다.
수용액 점도도 2% 농도에서 50cps - 105cps의 사이를 갖는 여러 종류의 grade가 시판되고 있다, 특징은 물에 잘 용해되고, 무색 투명하며, 점도 조정이 가능하며, 다른 물질과 상용(相溶)성이 있다.
Thixotrophic성이 있고 분산성, 안정성이 있으며 화학적으로 안정하여 피막을 만들고, 독성이 없다.또한 부패되지 않고, 열분해가 쉽다. 세라믹용으로 Na염의 형태가 바람직하지 않을 때는 암모니움염을 사용한다.
규격은 휘발분 30-35%, PH(1%수용액에서) 6.0-6.5, 점도(1%,25℃) 280-400cps로 회분은 Na염이 5-10%인데 반해, 0.3-0.2% 이하도 있다. 세라믹용 바인더로서 애자류, 형광등용 도료바인더로 사용되고 있다. 특히 건식프레스, 주입, 압출binder로 유용하다.
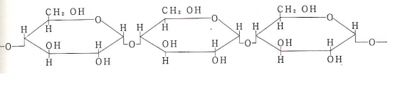
1.3 MC (HPMC)
구조는

이며, 백색, 무미, 무취의 안정성이 있는 분말로 찬물에도 녹는다. 분자중에 메톡시기(-OCH3)를 27-32% 함유한다. 이 범위에 있는 것이 물에 용해가 가장 잘 된다. 수용액의 점도범위에 따라 여러 종의 grade가 있다. 카탈로그에 의하면 표4.3과 같이, 메톡시기 27-32%의 MC의 2% 용액의 20℃에서의 점도에 따라 분류될 수 있다.
MC는 투명한 수용액으로 안정성이 있고, 산.알칼리에 분해되지 않으며, 중금속, 알칼리토류금속으로 치환되어 침전되지 않는다.
그러나 다른 콜로이드 용액과 마찬가지로 단백침전제, 규산염, 탄산염, 인산염등에 의해 응고된다. 결점은 가열하면 gel화 현상을 일으키는 것이다. 이런 겔화현상을 그림 5.2에 나타내었다. 또한 Grade에 따른 겔화현상과 상태를 그림 5.3에 나타내었다.
출처: FIne ceramics의 성형과 유기재료, CMC
'Material' 카테고리의 다른 글
| (C0G MLCC) 환원분위기에서 소성한 (CaSr)(TiZr)O3계 유전체의 저주파 유전 분산 (0) | 2021.05.01 |
|---|---|
| (Paste)잉크제조법과 생산기술 (0) | 2021.04.03 |
| (Paste)용제계에서의 안료분산 (0) | 2021.04.03 |
| (Material)Sekisui PVB Binder (0) | 2021.03.30 |
| (Powder Synthesis)박층 MLCC의 실현을 위한 티탄산바륨(BaTiO3)의 고도화 (0) | 2021.03.30 |